1.6 inch OLED On-cell PACP TP 500cd brightness For Wearable
What PPI Means in OLED Displays
PPI, short for Pixels Per Inch, is one of the most common ways to describe display sharpness. It tells us how many pixels are packed into one inch of a screen. In simple terms, a higher PPI usually means finer image rendering, cleaner edges, and more detailed visuals.
In the OLED industry, PPI has long been treated as an important specification, especially in smartphones and other compact devices viewed at close distance. For a period of time, many brands continued investing heavily in higher resolution as a way to push display quality forward. Looking at OLED smartphones as an example, pixel density broadly followed this path: around 400 PPI for FHD, around 520 PPI for WQHD or 2K, and around 640 PPI for UHD. After 2022, however, many brands began moving back toward roughly 450 PPI, often marketed as “1.5K.”
This shift raises an important question for both product designers and buyers: how much PPI is actually useful, and at what point does it become difficult for the human eye to notice the difference?
Why Human Vision Matters More Than Spec Inflation
A display does not exist in isolation. Whether its sharpness feels meaningful depends on how the human eye sees detail at a given distance.
In display discussions, resolution is not only about the number of pixels on paper. It is also about whether the eye can separate two adjacent visual points. This is usually described by angular resolution. When angular resolution is multiplied by viewing distance, it becomes spatial resolution.
That is why the “best” PPI is not always the highest one. Beyond a certain point, increasing pixel density may improve the spec sheet, but not the viewing experience in a clear and proportional way.
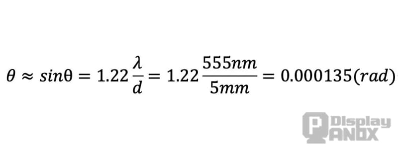
The Rayleigh Criterion and the Theoretical Limit of Human Vision
According to Rayleigh’s theory, two points are just distinguishable when the distance between them equals the radius of the Airy disk. In other words, when the center of one Airy disk overlaps with the edge of another, the eye reaches the threshold at which the two points can still be resolved.
According to the Rayleigh criterion, the theoretical angular resolution limit of the human eye is:

Note: this calculation assumes an iris diameter of about d = 5 mm and uses a wavelength of 555 nm, which is close to the peak sensitivity of human vision in the visible spectrum.
This gives a theoretical reference point, but real-world vision usually does not reach that extreme.
Real-World Visual Resolution Is Lower Than the Theoretical Limit
Under normal conditions, the human eye is limited not only by optical theory but also by the structure of the retina itself. Because of the natural distribution of photoreceptor cells, achieving 1 arcminute of practical visual resolution is already difficult.
Even that level generally requires ideal conditions: strong ambient brightness, dark text on a white background, no surface reflections, stable viewing, and very good eyesight. Under exceptionally favorable conditions, the human eye may distinguish details as fine as about 0.6 arcminutes.
So while the theoretical limit is useful, practical display design should be based more on what users can really perceive in daily use than on ideal laboratory assumptions.
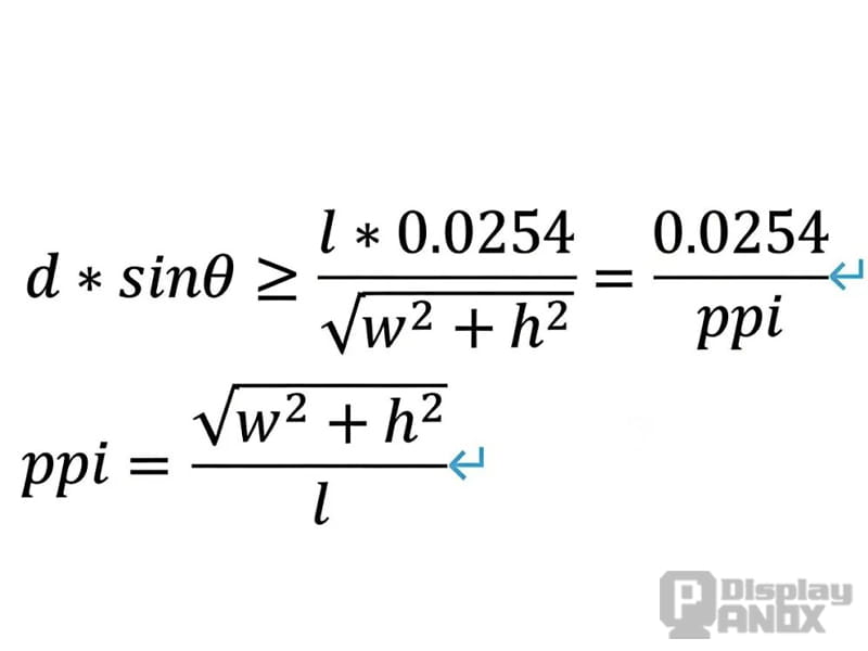
How Viewing Distance Changes the PPI Requirement
Since 1 arcminute equals 1/60 of a degree, and 180 degrees equals π radians, then:
1 arcminute = π / 180 / 60 = 0.000291 rad
To reach the eye’s resolution limit, the relationship between viewing distance and pixel size must satisfy the following condition:

In this formula, d represents the distance between the eye and the screen. The term sinθ represents the smallest angular resolution the human eye can recognize, and under small-angle conditions it can be approximated as θ.
This is why the same display can feel sharper or less sharp depending on how close it is viewed. A compact screen used at 20 cm needs higher pixel density than a screen viewed at 35 or 40 cm.
Estimated Human-Eye PPI Limit at Typical Viewing Distances
For handheld devices, the direct viewing distance is usually around 20 to 40 cm. Based on that range, the calculation results are as follows:

For a user with normal eyesight viewing a screen at 20 cm, the practical upper limit is around 440 PPI.
This figure is especially useful in OLED product planning, because it gives a realistic benchmark. It suggests that once a handheld OLED display reaches the mid-400 PPI range, further increases become increasingly difficult for most users to appreciate.
Is FHD OLED Still Enough?
Many standard FHD OLED panels on the market today use a resolution around 1080 × 2400, which often results in a PPI below 400. From a strict visual-limit perspective, that means there is still some room for improvement if the goal is to fully match what the eye can resolve at shorter viewing distances.
This is one reason why many OLED products gradually moved upward from standard FHD toward higher-density formats. Even relatively mainstream panel solutions have been evolving toward 1.5K-level sharpness rather than remaining at older density levels.
For brands competing in premium handheld products, FHD may still be acceptable, but it is no longer always the most attractive balance point when sharper options are available.

2.7 inch Full Color OLED Display 1ms Response Time MIPI DSI 2 Lanes
Why 1.5K Has Become a Practical Sweet Spot
15.6 inch Full Color OLED Display 4K Touch Panel
The move toward around 450 PPI makes sense for both engineering and product strategy.
At this level, a display is already close to the visual limit for most users under normal viewing conditions. The experience is noticeably sharp, text edges are clean, and fine UI details hold up well. At the same time, the panel does not carry as much manufacturing pressure and cost burden as a much higher-resolution alternative.
This is why 1.5K has become such a practical middle ground. It offers a strong visual upgrade over sub-400 PPI FHD panels while avoiding some of the cost and yield penalties associated with more aggressive resolutions.
Does 2K OLED Still Offer a Visible Advantage?
WQHD or 2K OLED panels, such as 1440 × 3200, typically reach around 520 PPI. On paper, that is clearly beyond the approximate 440 PPI threshold associated with close viewing at normal eyesight.
In practice, this means many users will find it difficult to notice a major difference between 1.5K and 2K in everyday use. The improvement may still be visible in certain cases, such as very small text, close-range inspection, high-contrast interfaces, or for users with unusually strong visual sensitivity. But for the average buyer, the difference is often modest.
So 2K OLED is not meaningless. It simply serves a narrower value case. It can still matter in ultra-premium devices, but it is no longer a universal necessity.
The Cost and Yield Trade-Off Behind Higher PPI
7 inch AMOLED OLED 1920X1080 Mipi
Higher pixel density does not come for free. As resolution increases, OLED panel manufacturing becomes more demanding. Yield losses can become more noticeable, process control becomes tighter, and total cost rises.
If the user can barely perceive the difference, the return on that investment becomes less attractive. For brands and OEMs, pushing PPI too far can lead to a weaker balance between performance, cost, and production efficiency.
That is why display development cannot be guided by resolution alone. A commercially strong OLED product has to balance visual quality with manufacturability and price competitiveness.
Why Different Brands Choose Different Resolution Strategies
Not every brand makes the same decision, because not every brand serves the same product philosophy.
Some brands have consistently favored around the 1.5K range and avoided WQHD OLED panels. Apple, for example, has long kept iPhone OLED density around the mid-400 PPI range, aligning with its Retina display concept. Other brands, especially in top-tier flagship models, continue offering WQHD OLED panels for users who want the highest possible display specification and may still notice the difference.
This is not only a technical choice. It is also a market-positioning decision. Some brands prioritize efficiency, battery life, and cost discipline. Others use higher resolution as part of a premium hardware identity.
What OLED Buyers Should Really Focus On
0.71 inch Micro OLED 1920x1080 LVDS 3000 nits
For OLED buyers, the most useful conclusion is simple: the ideal PPI is the one that fits the actual use case.
If the display is intended for a typical handheld viewing distance, a pixel density in the mid-400 PPI range is already enough to deliver a premium and very sharp experience for most users. Going far beyond that may bring diminishing visual returns.
At the same time, PPI should never be evaluated alone. Real display quality also depends on contrast, brightness, power efficiency, response time, color performance, and overall integration requirements. In many commercial applications, these factors have more impact on the final product experience than chasing the highest possible pixel density.
For brands, engineers, and hardware developers selecting OLED panels, a smart specification balance often matters more than a more extreme number.
Final Thoughts
The discussion around OLED PPI is no longer just about how high the number can go. It is about how much sharpness users can actually see, how much value that sharpness adds, and whether the extra cost is justified.
Based on human visual limits and normal handheld viewing distances, around 440 PPI is already close to the point where most users stop gaining obvious visual benefit. That is why 1.5K-class OLED panels have become such a strong mainstream direction. They offer a practical balance between clarity, cost, and user perception.
For companies choosing OLED panels for smartphones, handheld devices, wearables, or other compact electronics, the right decision is rarely the most extreme one. The better choice is the one that delivers strong real-world performance while staying commercially efficient.
If you are looking for OLED display solutions that balance sharpness, performance, and product viability, exploring the right panel specification is a smarter starting point than chasing resolution alone.
Learn more: What Is AMOLED and Why Is It Important in Display Technology?















